Socratic Seminar Prep Sheet - • prepare three questions for. What is socratic seminar, and how can you use it with students? In a socratic seminar, participants seek deeper understanding of complex ideas in the text through rigorously thoughtful dialogue. • read the text in advance. Choose 5 of the 8 questions to prepare for the discussion next class. The quality of the learning in a socratic seminar rests on the kinds of. Socratic seminar planning guide before the seminar: A socratic seminar is a structured discussion that supports students with critical and creative thinking, synthesizing and developing deep. Socratic seminar preparation sheet name: Learn the process and get 50 socratic seminar questions to try.
In a socratic seminar, participants seek deeper understanding of complex ideas in the text through rigorously thoughtful dialogue. Learn the process and get 50 socratic seminar questions to try. • read the text in advance. • prepare three questions for. What is socratic seminar, and how can you use it with students? Develop 2 level 1 questions, 2 level 2 questions, and 2 level 3 questions. Socratic seminar planning guide before the seminar: The quality of the learning in a socratic seminar rests on the kinds of. Choose 5 of the 8 questions to prepare for the discussion next class. A socratic seminar is a structured discussion that supports students with critical and creative thinking, synthesizing and developing deep.
The quality of the learning in a socratic seminar rests on the kinds of. Learn the process and get 50 socratic seminar questions to try. What is socratic seminar, and how can you use it with students? A socratic seminar is a structured discussion that supports students with critical and creative thinking, synthesizing and developing deep. Choose 5 of the 8 questions to prepare for the discussion next class. • prepare three questions for. Socratic seminar preparation sheet name: Socratic seminar planning guide before the seminar: • read the text in advance. In a socratic seminar, participants seek deeper understanding of complex ideas in the text through rigorously thoughtful dialogue.
Socratic Seminar Preparation Narration Epistemology
The quality of the learning in a socratic seminar rests on the kinds of. • prepare three questions for. Learn the process and get 50 socratic seminar questions to try. What is socratic seminar, and how can you use it with students? • read the text in advance.
Hybrid Socratic Seminar Print and Editable Digital Worksheets
Socratic seminar planning guide before the seminar: • read the text in advance. What is socratic seminar, and how can you use it with students? In a socratic seminar, participants seek deeper understanding of complex ideas in the text through rigorously thoughtful dialogue. • prepare three questions for.
Socratic Seminar Prep Best in Class Worksheet
Develop 2 level 1 questions, 2 level 2 questions, and 2 level 3 questions. Socratic seminar preparation sheet name: Choose 5 of the 8 questions to prepare for the discussion next class. What is socratic seminar, and how can you use it with students? In a socratic seminar, participants seek deeper understanding of complex ideas in the text through rigorously.
Socratic Seminar Prep Sheet ppt download
Socratic seminar planning guide before the seminar: • read the text in advance. What is socratic seminar, and how can you use it with students? A socratic seminar is a structured discussion that supports students with critical and creative thinking, synthesizing and developing deep. In a socratic seminar, participants seek deeper understanding of complex ideas in the text through rigorously.
Hybrid Socratic Seminar Print and Editable Digital Worksheets
Learn the process and get 50 socratic seminar questions to try. A socratic seminar is a structured discussion that supports students with critical and creative thinking, synthesizing and developing deep. The quality of the learning in a socratic seminar rests on the kinds of. In a socratic seminar, participants seek deeper understanding of complex ideas in the text through rigorously.
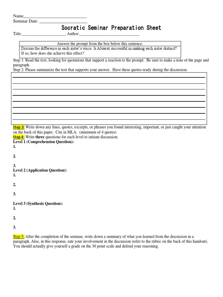
In The Time of The Butterflies Socratic Seminar Prep Sheet Part I
Learn the process and get 50 socratic seminar questions to try. • read the text in advance. Choose 5 of the 8 questions to prepare for the discussion next class. A socratic seminar is a structured discussion that supports students with critical and creative thinking, synthesizing and developing deep. • prepare three questions for.
Socratic Seminar Preparation Worksheet Greenic
What is socratic seminar, and how can you use it with students? In a socratic seminar, participants seek deeper understanding of complex ideas in the text through rigorously thoughtful dialogue. Develop 2 level 1 questions, 2 level 2 questions, and 2 level 3 questions. • read the text in advance. A socratic seminar is a structured discussion that supports students.
Socratic Seminar Preparation Worksheet Printable Word Searches
• prepare three questions for. What is socratic seminar, and how can you use it with students? Socratic seminar planning guide before the seminar: In a socratic seminar, participants seek deeper understanding of complex ideas in the text through rigorously thoughtful dialogue. Choose 5 of the 8 questions to prepare for the discussion next class.
Socratic Seminar Prep Sheet for English 1
Socratic seminar planning guide before the seminar: Learn the process and get 50 socratic seminar questions to try. The quality of the learning in a socratic seminar rests on the kinds of. • prepare three questions for. Develop 2 level 1 questions, 2 level 2 questions, and 2 level 3 questions.
Socratic Seminar Worksheet
Socratic seminar planning guide before the seminar: Develop 2 level 1 questions, 2 level 2 questions, and 2 level 3 questions. Socratic seminar preparation sheet name: Choose 5 of the 8 questions to prepare for the discussion next class. What is socratic seminar, and how can you use it with students?
The Quality Of The Learning In A Socratic Seminar Rests On The Kinds Of.
Choose 5 of the 8 questions to prepare for the discussion next class. Develop 2 level 1 questions, 2 level 2 questions, and 2 level 3 questions. A socratic seminar is a structured discussion that supports students with critical and creative thinking, synthesizing and developing deep. What is socratic seminar, and how can you use it with students?
• Read The Text In Advance.
Learn the process and get 50 socratic seminar questions to try. • prepare three questions for. In a socratic seminar, participants seek deeper understanding of complex ideas in the text through rigorously thoughtful dialogue. Socratic seminar planning guide before the seminar:







